一、春意盎然喻生命的句子春意盎然造句 1、呼唤诚信,拥抱诚信,让世界因诚信而春意盎然,五彩缤纷! 2、吹拂过绿叶的风,变得格外温柔了,太阳也变得暖洋洋的,绿叶们托出了一个个娇嫩欲滴的花骨朵,好一片春意盎然的景象。 3、每年,春的使
太原各校高中录取分数线如何划定 太原市中考分数线
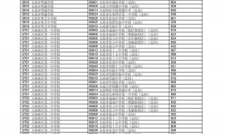
一、太原各校高中录取分数线如何划定1、太原市各校高中录取分数线是根据所有孩子题型的难度考试的分数,每个学生报考学校的志愿来定分数线,每个学校的招生人数来划定。2、三大校的分数每年最高,因为中考是估分报志愿 ,有些学校报的人数多,学校招生计划
一、太原各校高中录取分数线如何划定
1、太原市各校高中录取分数线是根据所有孩子题型的难度考试的分数,每个学生报考学校的志愿来定分数线,每个学校的招生人数来划定。
2、三大校的分数每年最高,因为中考是估分报志愿 ,有些学校报的人数多,学校招生计划是有限的,分数就自然高, 报的人数少,分数肯定低!
二、山西2023年中考分数线预测
国家教育改革,中考难度减低,覆盖知识面多,2021年太原市普高分数线440分2022年465分,2023年基本在470分,如果要重点高中的话在570分有可能,几大名牌高中610分有机会。
三、2021年太原市中考科目分值
1、
2021年太原市中考各科总分是730分,其中语文满分120分,数学满分120,英语满分120分,理科综合150分,其中物理满分80分,化学满分70分,文科综合150分,其中政治满分75分,历史满分75分。体育满分50分,物理化学实验操作满分10分,信息考试满分10分。
2、
3、在太原如果想考上山大附中,省实验中学,太原五中这样的三大名校,一般录取分数在690左右,如何实现这样的目标呢?第一,体育,实验,和计算机必须得的满分,这就是70分。第二,语文不能低于110,作文几乎要满分,或者很少丢分。数学不能低于114,除了最后一道压轴题动点问题和填空题最后一道,其他的几乎都要得满分。外语不得低于114,作业必须是书写优美的衡水体,否则很难得满分。第三,物理不能低于75,化学必须要接近满分,这就要求答题一定要严谨规范。第四,政治和历史不能低于67分,这两课选择题必须要全对。满足以上四点,祝贺你,基本就可以考上三大校了。

4、

5、
四、2022太原中考分数线算体育分吗
1、算。
2、2022年我省中考取消体育、信息技术和理化试验三门考试后,总分660分。太原市将今年普通高中最低录取控制线定为460分。其中,普通高中招生录取办法和往年相同,普通高中体育、艺术类特长生录取时,考生中考成绩和专业成绩必须达到一定分数线,才可投档。
五、2021年太原市中考录取分数线多少
2021年中考分数线是要等6月22日后中考结束了才能确定的,因为2021年太原的中考工作还没有进行,所以2021年太原中考录取分数线目前还无法确定!
相关文章
- 详细阅读
-
印度电影明星 印度电影天生一对详细阅读
一、印度电影明星 1沙鲁克·汗/ Shahrukh Khan /SRK /king khan 宝莱坞之王 对于大部分印度人来说,沙鲁克·汗如同一个“印度梦”。他双亲早逝,出身平凡,凭借自身努力成为了宝莱坞近20年来最具影响和代表性
-
世界三大马戏团 马戏团马戏表演公司一详细阅读
一、世界三大马戏团1、一般指的是:2、太阳马戏团:这是来自加拿大的马戏团,是世界最大的马戏团之一,以其精湛的表演和创意的节目而闻名全球。3、玲玲马戏团:这是来自美国的马戏团,成立于1871年,以其的室内场馆演出和舞美灯光而闻名。4、纽约大苹
-
五莲山风景区门票多少 五莲山风景区详细阅读
一、五莲山风景区门票多少1、65元。2、五莲山景区位于山东省日照市五莲县东南部。五莲山风景区属温带季风气候,平均气温12.6℃,冬暖夏凉,气候宜人,雨量充沛。境内气候温和,特产丰富,山川秀美。五莲山景区由五连山、九仙山、龙潭大峡谷组成,总面
-
歌曲梦中的额吉妈妈原唱 梦中的妈妈原唱歌曲详细阅读
一、歌曲梦中的额吉妈妈原唱1、歌曲《梦中的额吉》2、歌曲原唱:乌兰图雅3、作词:特古斯吉日嘎拉4、作曲:格拉巴苏荣5、歌词:6、青青的草原星星在闪耀,7、梦中妈妈的脸,8、在为我挂牵,9、为我向苍天祈福祝愿。10、她在遥望远方的天边,11、
-
2013uzi总决赛是哪个赛季 2013年乒乓球世锦赛男单决赛详细阅读
2013uzi总决赛是哪个赛季1、英雄联盟第三赛季全球总决赛。2、皇族战队亚军阵容: GoDlike、Lucky、Wh1t3zZ、Uzi、Tabe。3、2013年皇族战队得到了S3全球总决赛八强的种子席位,代表S3全球总决赛中国区
-
求一个一开始就无敌的小说.最好是扮猪吃老虎 都市扮猪吃老虎小说详细阅读
一、求一个一开始就无敌的小说.最好是扮猪吃老虎1、《穿花蝴蝶》 作者:是辞2、简介3、1990s,港岛,公主复仇记。4、是谁毁珪破璧,又谁把旧事重提。 5、“情愿死在她手里,是这一生最浪漫决意。”6、小丸子书评7、冷血女风水师vs放荡男古惑
-
做鼻子整形要多少钱 鼻子整形需要多少钱详细阅读
一、做鼻子整形要多少钱做鼻子整形的价钱,大概是在5000元到2万元左右,因为做鼻子整形的材料是非常多的,根据所选择的材料不同,收取的费用也是不相同的,而且每个地区的收费标准也是不一样的,如果选择三甲医院收取的费用也会比二甲医院收取的费用有所
-
公司俯瞰图怎么做ppt封面 ppt封面背景详细阅读
一、公司俯瞰图怎么做ppt封面1、要制作公司俯瞰图的PPT封面,首先需要收集公司的相关信息和数据,包括公司的历史、规模、业务范围、市场份额等。2、然后,选择一张高清的公司俯瞰图作为背景,将公司信息和数据以简洁明了的方式呈现在封面上,可以使用
-
2023德班世乒赛时间 2023德班世乒赛共有几块奖牌详细阅读
2023德班世乒赛时间1、2023年德班世乒赛2023年1月7日至13日在卡塔尔多哈举行,五项混双。2、2023年世界乒乓球锦标赛2023年在南非德班举办。这是世乒赛自1939年在埃及开罗举办后,再次走进非洲。2023德班世乒赛共有几块奖牌
-
08年奥运会夺冠项目 08年奥运会成功时刻详细阅读
08年奥运会夺冠项目1、2008年北京奥运会,中国代表团总共获得51枚金牌。2、第1金 2008年8月9日 陈燮霞(女子举重48公斤级)3、第2金 2008年8月9日 庞伟(男子射击10米气手枪)4、第3金 2008年8月10日 郭文珺(女
